[Resuelto] Análisis Ecuaciones: Excentricidad de la órbita de un planeta
La excentricidad de la órbita de un planeta se define por:
Donde a es la distancia del Sol a su afelio y p es la distancia del sol a su perihelio.
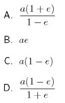
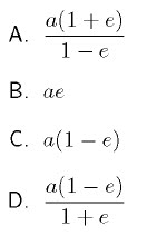
La expresión correcta para p en términos de a y e esDonde a es la distancia del Sol a su afelio y p es la distancia del sol a su perihelio.
Pregunta enviada por Lorena López Ortega
|
|
Publicado por
Felipe Calvo
Ingeniero Industrial y Magister en Estadística en la Universidad Nacional de Colombia. Cofundador de Aspirantes.org y Lidera El Cambio. Colaborador Principal y Tester de Confianza en Productos y Comunidades de Google. Facebook: +Felipe CalvoTwitter: @feliperspicuo |
PUBLICIDAD
whatshot Lo Más Popular
- El PBM en la Unal: ¿Como se liquida el valor del derecho de matrícula?
- Examen de estado Icfes Saber 11: Interpretación de Resultados
- Preguntas y respuestas sobre el examen de estado Icfes Saber 11: presentarlo más de una vez
- Examen de Estado ICFES - Mini Cuestionario Interactivo
- [Resuelto] Probabilidad: Lanzamiento de dados
bookmark_border Artículos Destacados
Pasar a la Universidad Nacional
12 Consejos para el Examen
¡Consulta tu carrera!
Consejos y Tips Examen Icfes Saber 11
¿Qué estudiar? ¿Qué repasar?
Interpretar Resultados ICFES
Calcular Promedios ICFES
Puntajes de Admisión UNAL
Estructuras y respuestas exámenes de admisión UNAL
Inscripciones ICFES y UN: paso a paso
Preguntas Frecuentes ICFES y UN
12 Consejos para el Examen
¡Consulta tu carrera!
Consejos y Tips Examen Icfes Saber 11
¿Qué estudiar? ¿Qué repasar?
Interpretar Resultados ICFES
Calcular Promedios ICFES
Puntajes de Admisión UNAL
Estructuras y respuestas exámenes de admisión UNAL
Inscripciones ICFES y UN: paso a paso
Preguntas Frecuentes ICFES y UN
forum Últimos Comentarios
person_add En Contacto
¿Deseas ponerte en contacto con nosotros?
Puedes enviarnos un mensaje a través de nuestro formulario de contacto o escribirnos al correo electrónico...

La respuesta correcta es la opción D, ya que al manipular la expresión inicial y despejando p la obtenemos
e = a - p multiplicamos por (a + p) para eliminar la fracción
_____
a+p
e(a + p) = a - p donde ea + ep = a - p entonces a = ea + ep + p expresamos p como producto y queda a = ea + p ( e + 1)
a - ea = p ( e + 1) ----> expresamos a como un producto
a( 1 - a)= p ( e + 1) -----> p = a ( 1 - a)
__________
1 + e